当前位置:首页  通知公告  本科生培养

【推免工作】44118太阳成城集团/人工智能学院 2021届本科毕业生推荐免试研究生工作办法

时间:2020-09-23作者:来源:44118太阳成城集团点击:4648


44118太阳成城集团/人工智能学院

2021届本科毕业生推荐免试研究生工作办法


推荐免试攻读硕士学位研究生工作(简称“推免工作”)是我校人才培养工作的重要组成部分,对促进高素质、高层次、拔尖创新人才的培养具有十分重要的意义。为此,我院在学校统一安排下,根据《suncitygroup太阳集团关于做好2021届本科毕业生推荐免试攻读硕士学位研究生工作的通知》(校教字〔202028号)的要求,特制定本院的选拔、推荐办法和工作程序,遵循公平、公正、公开原则,认真做好今年的推免工作。

一、组织领导

学院成立推免工作小组和监督小组,负责2021届本科毕业生的推免工作,其中包括制定推荐标准、分配名额、对被推荐人选进行条件审核、接收处理投诉以及审批推免学生名单等。

工作小组成员如下:

组  长: 陈兵

副组长: 赵蕴龙 燕雪峰 管祎

组  员: 袁伟伟 朱友文 钱巨 许建秋 魏明强 邹春然

秘  书: 刘译善

监督小组成员如下:

组长:刘健荣

成员:皮德常 胡彤 林卉 李鑫

二、推荐条件

(一)基本条件

所有学生均为应届毕业年级学生,需通过全部应修的必修课程,思想品德考核合格,未违背学术诚信(包括无考试作弊行为)。

(二)申请者还须满足以下条件之一

1. 参加卓越工程师班选拔的学生和参加普通班选拔的学生,其成绩要求为前三年所学必修课程的平均学分绩点不低于3.2,同时需满足以下条件之一:

  • 主持或参加校级及以上大学生科创基金项目并已正常结题;

  • 院级科创项目已正常结题并有相应成果(含学术论文发表或录用、获得软件著作权证书、以及发明专利申请并获得申请号);

  • 在学校认定的校级以上各类学科竞赛中获得特、一、二、三等奖;

  • 在正式学术刊物上发表学术论文(或被录用),或获得软件著作权证书,或申请发明专利(获得申请号),上述成果须与计算机类学科相关;

  • 具有其他经学院认定的特长。

2. 2019-2020学年具有本硕(博)连读资格的生,学年考核须合格。

3.申请“支教专项”类推免资格的学生,其前三年必修课程的平均学分绩点不低于3.2。如支教工作有特殊的考虑,可根据上级文件并经校推免小组审核同意,其要求可适当放宽。

4.鼓励具有“专长潜质”的学生申请推免资格,具体条件为:在《suncitygroup太阳集团大学生竞赛级别认定表》中列为Ⅰ级甲等、Ⅰ级乙等竞赛中获得第三等次及以上奖项(以团队参加竞赛获奖的,对第一等次奖的团队,个人排名应在前6名;第二、第三等次奖的团队应在前5名),或在Ⅱ级甲等竞赛(全国赛)中获得第二等次及以上奖项(以团队参加竞赛获奖的,个人在团队中排名应在前4名),或以独立作者、第一作者发表与学业相关的SCISSCIEI论文并见刊,并具有较强研究和学习能力,由两名以上本校教授联名推荐,前三年必修课程的平均学分绩点不低于3.2前三年必修课程成绩排名在专业前45%

满足上述竞赛或论文方面条件,并具有学校认可三个月以上出国交流经历的学生(不包含中外合作办学项目班级的学生),前三年必修课程成绩排名可放宽专业前50%;对在《suncitygroup太阳集团大学生竞赛级别认定表》中列为级甲等的竞赛中获第二等次以上奖励以团队参加竞赛获奖的,在中国“互联网+”大学生创新创业大赛、“挑战杯”全国大学生课外学术科技作品竞赛、“创青春”全国大学生创业大赛、国际无人飞行器创新大奖赛中第一等次奖的团队,个人排名应在6名,获第二等次奖的团队应在5,在该等级其他竞赛中第一等次奖的团队应在3名,获第二等次奖的团队应在2名)的学生将优先考虑在素质能力方面表现突出参与重要社会工作,并通过学校的相应考核或获得学校相关嘉奖的,经校推免小组审核同意,其要求可适当放宽。

5.对于通过科研创新成果、论文(文章)、竞赛获奖申请推免资格的学生学院成立专家审核小组(专家组成员应具有相关学科副教授以上职称,一般不少于5人),可会同本研究领域权威专家、相关期刊杂志单位或赛事主办单位等,对申请推免资格学生的科研创新成果、论文、竞赛获奖奖项及内容进行审核鉴定,排除抄袭、造假、冒名及有名无实等情况。专家审核小组及每位成员都要给出明确审核鉴定意见并签字存档。对通过审核鉴定的申请“专长潜质”推免资格的学生,学校将在一定范围内组织公开答辩。未通过审核鉴定或答辩的学生不予推荐。

6.申请“支教专项”类推免资格的学生,其前三年必修课程的平均学分绩点不低于3.2,结合《关于组建中国青年志愿者扶贫接力计划第23届(2021—2022年度)研究生支教团有关工作的通知》(全国项目办发〔20206号)要求进行推荐遴选

7申请“国防专项”的学生,其前三年必修课程的平均学分绩点不低于3.2且专业排名前10%,学科竞赛成绩突出者优先

8.在校期间应征入伍,在部队荣立二等功及以上的退役学生,经校推免小组审核同意,其课程学习成绩要求可适当放宽。

9中外合作办学项目班级的学生,须参加过学校认可的三个月以上出国(境)交流项目并达到课程学习要求的方可推荐。

10.凡获得各种义务类奖学金(国防奖学金、国防科技奖学金等)的学生,必须经设奖单位同意、学生处审核后方可推荐。

三、免试研究生推荐细则

(一)名额分配

1.各专业的推免生名额按照学校分配的面上指标和各专业人数进行分配。

2.各专业按照实际分配名额的150%进行推荐(前三年必修课绩点按照30%30%40%计算的总和进行排名),参加推免评选。已获本硕(博)连读培养资格的学生不参加排名。免试研究生资格最终按照各专业综合成绩排名从高到低的顺序来确定且综合成绩必须大于82未获得卓越班专项推免资格的学生,将与普通班学生一同排名。

(二)综合成绩排名办法

综合成绩y=学习成绩×90% + 能力测试成绩×10% +荣誉成绩+学术成果成绩

1)学习成绩(y1):

根据前三学年必修课平均学分绩点(排除重复课程)记为N1,N2,N3,按照30%30%40%的比例计算,即:

y1=N1×30%+N2×30%+N3×40%)*10+50

2)能力测试成绩(y2):

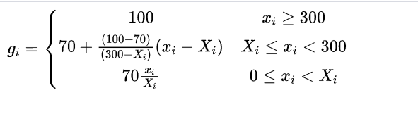
能力测试成绩依据CSP考试成绩进行计算和认定,采用百分制。

CSP考试成绩认定为

其中为第CSP考试成绩,为第CSP考试全国平均成绩;

能力测试成绩取gi中最大值进行计算

3)荣誉成绩(y3计算如下:

1.获省级及以上三好学生、优秀学生干部、优秀青年或社会实践先进个人加2分;

2.获校通令嘉奖、校长特别嘉奖、校十大杰出青年学生加1.5分;校级三好学生标兵1分;

3.获校级荣誉(包括校年度特别嘉奖、三好学生、优秀学生干部、优秀共产党员、优秀团干部、校百佳青年学生)两次及以上加0.5分;

4.学科竞赛获奖加分标准如下表。

I

甲等

最高级别奖(前3名)

2.0

第二高级别奖(前2名)

1.5

第三高级别奖(第1名)

1.0

乙等

最高级别奖(前3名)

1.5

第二高级别奖(前2名)

1.0

第三高级别奖(第1名)

0.5

II

甲等

最高级别奖(前3名)

1.0

第二高级别奖(前2名)

0.5

有关大学生竞赛等级认定参见【校教字〔202022】。

5. 获院大学生科技创新基金项目一等奖或校级科创结题为优秀,排名前三位者分别加1分、0.5分、0.5分。

说明:1)荣誉成绩部分:第123项中得分最高项与第45项中得分累加;第45项中,若同一作品参赛者以最高分记,不同作品获奖者可累积加分;所有荣誉成绩累加不超过5分。

2)荣誉成绩由学生自行申报,学院审核。

4)学术成果成绩(y4计算如下:

1. CCF A类论文发表或录用1篇计2分;

2. CCF B类论文发表或录用1篇计0.8分;

3. CCF C类论文发表或录用1篇计0.6分;

4. 本领域相关SCI论文发表或录用1篇计0.5分;

5. 在学院认定的重要核心期刊上发表或录用1篇计0.5分;

6. 本领域相关EI论文发表或录用1篇计0.2分。

说明1)每篇论文只能计分1次。

2)论文要求以suncitygroup太阳集团为第一单位,以学生本人为第1作者。

3)学术成果成绩累加不超过5分。

四、鼓励政策

      1. 鼓励推免生申报我校研究生和直博生。我院将优先录取报考本院专业的我校推免生,给予学业奖学金一等奖,并可参评新生特别奖学金。我院录取的本校推免的直博生入学后即依据相关文件享受博士生待遇,并给予学院特别奖学金8000元。

      2. 学院将为申报我院的推免生落实研究生导师优先安排博导和教授为推免生导师。推免生参加导师的科研团队,在导师的指导下进行毕业设计

五、注意事项

  1. 凡具有推免资格的学生,必须首先递交书面申请,且只能选择一个类别,多选无效。

  2. 各专业推荐的免试研究生人选的成绩、排名和评价等必须真实、准确,若通过弄虚作假或其他不正当手段获得推免资格者,一经发现将取消当事人的被推荐资格,并追究相关人员的责任。

  3. 已被录取的推免生,不得放弃推免资格不再参加本届毕业生的就业派遣,学校和学院也不再出具与就业、报考研究生、自费出国等有关一切证明材料

  4. 为避免研究生入学资格审查时发生问题,推免生在报名后至研究生入学前不得更改本人姓名、身份证号、学籍信息等。

  5. 推免生应再接再厉,认真学习,努力提高自身的综合素质和创新能力。

  6. 本办法如与学校相关文件有异议处,以学校文件为准。





 2021届本科毕业生推荐免试硕士研究生

工作时间安排

(44118太阳成城集团/人工智能学院)


序号

时间

内容

1

923

学院成立推免工作小组和监督小组,制定学院推荐面试工作办法,提交校推免领导小组审查,并全面展开学院推免工作。

2

927

学院将拟推荐名单报教务处审核,并予以公示

3

学院将通过“专长潜质”、入伍期间立功申请推免等学生的材料报教务处,并予以公示


44118太阳成城集团2021届免试研究生推荐办法.pdf


地址:江苏省南京市江宁区将军大道29号

邮政编码: 211106

版权所有:44118太阳成城集团(suncitygroup·VIP认证)官方网站 版权所有 苏ICP备05070685号 后台管理 书记信箱 院长信箱

友情链接

校外导航链接